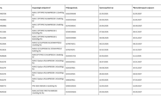
ՍԱՏՄ ՊԱՀԱՆՋՈՎ ԿԱՏԱՐՎՈՒՄ Է NAN-Ի ՈՐՈՇ ԽՄԲԱՔԱՆԱԿՆԵՐԻ ՀԵՏԿԱՆՉ Posted on January 9, 2026 by nazaryan.vigen.99.vn Այլ նյութեր ԱՐԹԻԿՈՒՄ ՀԱՆՐԱՅԻՆ ՍՆՆԴԻ ՕԲՅԵԿՏԻ ԱՇԽԱՏԱՆՔԸ ԿԱՍԵՑՎԱԾ Է Ջահերով երթը կմեկնարկի Հանրապետության հրապարակից, ժամը 20: 00–ին ԴԻԼԻՋԱՆՈՒՄ ԿԱՍԵՑՎԵԼ Է ԼԻՄՈՆԱԴԻ ՈՒ ՇՇԱԼՑՎԱԾ ՋՐԵՐԻ ԱՐՏԱԴՐԱՄԱՍԻ ԱՐՏԱԴՐԱԿԱՆ ԳՈՐԾՈՒՆԵՈՒԹՅՈՒՆԸ Նախարար Համբարձում Մաթևոսյանը մասնակցել է «Մեծ յոթնյակի» (G7) շրջակա միջավայրի նախարարների հանդիպմանը ԵՄ–ն հայտնել է Իրանի շուրջ հակամարտության պատճառով 24 մլրդ եվրոյի լրացուցիչ էներգետիկ ծախսերի մասին ՙՙՍԱՏՄ ՊԱՀԱՆՋՈՎ ԿԱՏԱՐՎՈՒՄ Է NAN-Ի ՈՐՈՇ ԽՄԲԱՔԱՆԱԿՆԵՐԻ ՀԵՏԿԱՆՉ՚՚ հաղորդագրության հետ հրապարակված խմբաքանակների ցանկում կատարվել է փոքրիկ ճշտում, խնդրում եմ հիմք ընդունել և հրապարակել այս տարբերակը: Spread the love